30年数学难题,AI仅6小时告破!陶哲轩:ChatGPT们都失败了
编辑:桃子
【新智元导读】昨晚,数学界炸了!AI数学家「亚里士多德」竟在6个小时内,一键破解了30年难题的简版,引陶哲轩盛赞。数学领域Vibe proving时代来了。
30年未解数学难题,终于告破!
由HarmonicMath开发的AI数学家「亚里士多德」(Aristotle),100%独立完成了埃尔德什问题#124。

它在Lean证明系统中,耗时仅6个小时,验证只需1分钟。
全程没有一丝人类的参与辅助,这一刻,堪称数学界的「登月」时刻。

HarmonicMath创始人Vlad Tenev感慨道,「数学圈正迎来巨变,vibe证明的时代,来了」!

就连菲尔兹奖得主陶哲轩,高度赞扬了AI数学家「亚里士多德」。

AI发现数学的时代,正式开始了。

30年难题告破,AI做到了
一直以来,数学家Erds Pál的「问题列表」,就像一座知识的珠穆朗玛峰,考验着人类的极限。
那些悬而未决的难题,悬赏金大多从几十美元到上万美元不等。
其象征意义远大于实际价值,成为了无数数学家的精神勋章。

30年来,第124号问题(Erds #124)在论文「Complete sequences of sets of integer powers」中提出后,至今无人破解。
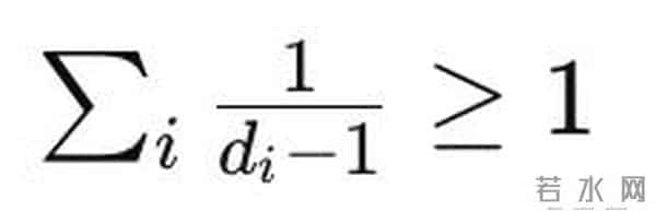
E124核心是:给定k个自然数d_i ≥ 2,如果∑ 1/(d_i - 1) ≥ 1,那么对于自然数n,总存在a_i,使得n = ∑ a_i。
且每个a_i,在d_i下的「数字」仅限于{0,1}。

直白讲,它本质上在问——极端约束下,是否总能用「二进制」表示任意大数,而不受基数干扰?
这牵扯到了「组合数学」的深水区,传统方法卡在了gcd条件和边界案例上。
直到昨晚,这堵墙崩塌了。
Harmonic团队量身打造了「数学超级智能」原型——亚里士多德(Aristotle),结合了强化学习、蒙特卡洛树搜索,以及Lean形式化语言。

输入问题后,它通过搜索上亿种证明策略,最终输出了100%可验证的定理。
数学家Boris Alexeev表示,这是AI输出的三个定理中,自己最喜欢的一个:
theorem erdos_124 : k, d : Fin k → , ( i, 2 ≤ d i) → 1 ≤ ∑ i : Fin k, (1 : ) / (d i - 1) → n, a : Fin k → , i, ((d i).digits (a i)).toFinset {0, 1} ∧ n = ∑ i, a i

地址:
顺便提一句,E124问题一共有两个不同版本,全部由埃尔德什提出。
目前,AI亚里士多德解决的是一个比较简单的版本。

在时间方面,Aristotle花了6小时,而Lean只花了1分钟。
Erds问题的网站维护者表示,Aristotle的表现最令人深刻!

ChatGPT、Gemini都失败了
陶哲轩对此点评道,就我所知,Gemini和ChatGPT的深度研究工具,都没有找到关于这个问题的任何新的、有价值的文献。
Gemini给出了一个简单的观察:如果把数字1排除掉,那么gcd条件就会变成必要的;它还解释了条件

的重要性,并把它和一些关于Cantor集的平行研究联系了起来,尤其是「Newhouse gap lemma」。
不过,它没有找到与这个问题直接相关的新文献。
ChatGPT则大量依赖本网页作为主要权威来源,例如引用Aristotle的证明、本页引用的其他论文,以及相关问题的页面。
因此,并没有获得新的信息,不过读者可能会觉得这些AI生成的总结还是挺有意思的。


陶哲轩:数学低垂果实,正被AI收割
在mathstodon上,陶哲轩还分享了多年来自己的经验——
他表示,当前真实情况是:数学未解问题服从「长尾分布」,AI自动化「收割」恰恰集中在长尾最末端。

有大量问题其实相对容易证明或证伪,但因为真正能投入研究的专家数学家数量有限,这些问题几乎没得到过多少关注。
换句话说,这条「尾巴」里其实藏着不少触手可及的「低垂果实」:
如果有办法把这些问题进行大规模的自动化攻克,就可能产出相当多新的数学结果。
去年,陶哲轩在Equational Theories Project里亲历过一个类似的情况。
在这个项目中,他们面对的是普遍代数里2200万条可能的蕴涵关系(implication),如果全靠人类去做,必定花费非常多的时间。
于是,他们决定从一开始用比较「低技术含量」的自动化方法,短短几天就解决了大部分。

接下来,又不断上复杂手段,啃那些前几轮怎么都啃不动的顽固难点。
最后,剩下几条特别顽固的,又花费了人类数学家几个月的时间搞定。
目前,Erds问题网站收录了1108个,曾在Erds至少一篇论文中出现过的问题。
其中,既有像E3这种臭名昭著的难题,也有数量众多、更不起眼、几乎没人关注过的问题,甚至连Erds本人都没再回头研究过。
最近几周,这个网站的「未解」标签突然少了近十个,全部在AI加持下文献搜索发现——
实际上,这些问题早就被他人解决。
正在研究这些问题的人类数学家也结合使用了AI工具和形式化证明助手:
有的在Lean里验证已有证明,有的生成和这些问题相关的整数序列项,还有的补上某个既有思路里缺失的证明步骤。
最近,又发现了另一类落入自动化工具能力范围的「低垂果实」——那些因为描述上存在技术性瑕疵而意外变得好解决的问题。
E124就是一个典型,这个问题完整版本有些难度,曾在Erds的三篇论文中出现。
但其中有两篇遗漏了一个关键假设,使得这一版本其实只是Brown判据的直接推论。
这事一直没有人发现,直到Boris Alexeev把问题丢给自动化工具Aristotle,没想到AI在几小时内自主找到了漏洞,并用Lean完成了形式化证明。
可以看到,AI正在点亮数学的「暗森林」。
正如陶哲轩所言,「自动化工具先清理掉最容易的问题,把真正难啃的那部分剥离出来,让人类数学家把精力花费在值得的地方」。
声明:本站所有文章资源内容,如无特殊说明或标注,均为采集网络资源。如若本站内容侵犯了原著者的合法权益,可联系本站删除。
